dBm、dBuV、dBmV換算與dB、dBc的關(guān)系
dBm、dBuV及dBmV都是絕對單位,即代表某一物理量,相關(guān)換算表如下(阻抗以50Ω為例):
dBm | mW | uV | dBuV | dBmV |
-30 | 0.001 | 7071.07 | 76.9897 | 16.9897 |
-25 | 0.003 | 12574.33 | 81.9897 | 21.9897 |
-20 | 0.010 | 22360.68 | 86.9897 | 26.9897 |
-15 | 0.032 | 39763.54 | 91.9897 | 31.9897 |
-10 | 0.100 | 70710.68 | 96.9897 | 36.9897 |
-5 | 0.316 | 125743.34 | 101.9897 | 41.9897 |
0 | 1.000 | 223606.80 | 106.9897 | 46.9897 |
5 | 3.162 | 397635.36 | 111.9897 | 51.9897 |
10 | 10.000 | 707106.78 | 116.9897 | 56.9897 |
15 | 31.623 | 1257433.43 | 121.9897 | 61.9897 |
20 | 100.000 | 2236067.98 | 126.9897 | 66.9897 |
25 | 316.228 | 3976353.64 | 131.9897 | 71.9897 |
30 | 1000.000 | 7071067.81 | 136.9897 | 76.9897 |
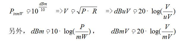
因此-30dBm對于0.001mW、或10-6 W。在50Ω負載上上為7071.07uV,或0.007071mV。上表的公式及推導(dǎo)方式如下:

至于dB及dBc為相對單位。就功率而言,差100dB等于差20倍。
問題:0dBm與-50dBm相差50dB或50dBm?
回答:50dB。0dBm=1mW,-50dBm=10-5mW,兩者相差105倍,等于50dB。或者兩者相差0.99999mW,而0.99999mW等於-0.0000434dBm≈0dBm。50dBm=105mW=100W,顯然不能為50dBm。
版權(quán)聲明:本資料屬于北京海洋興業(yè)科技股份有限公司所有,如需轉(zhuǎn)載,請注明出處!



